Fourier series :
Fourier series is able to represent any piecewise regular function in
the range [0,2L]
-
Dirichlet conditions: f(x) has only a finite number of discontinuities
and only a finite number of extreme values (maximum and minimum).
-
Functions satisfying these conditions may be called piecewise regular.
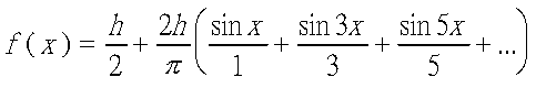
Square wave
for nmax=15
Full wave rectifier :
for nmax=14

Swath wave :
for nmax=15